Encuentros presenciales de Actualización y Formación continua Interdisciplinaria: resumen I 20/3/2025

TERAPIA RADIANTE EN LAS TECNICAS QUIRURGICAS ACTUALES. 

Existe un aumento creciente del aumento de número de pacientes que reciben terapia radiante postmastectomía: el meta-análisis del EBCTCG que muestra beneficio de RTPM (terapia radiante postmastectomia), en número de ganglios limitado <3 y el uso de ganglio centinela en baja carga de enfermedad nodal. Existe por otro lado, un mayor refinamiento en la técnica quirúrgica con objetivo estético. cada vez mas se hace hincapié en las técnicas quirúrgicas actuales basadas en oncoplastia y en reconstrucción en. preservar en lo posible la mayor integridad del aspecto de la glándula mamaria entendiendo, que la mama es un órgano vital en la feminidad y en la identidad de la mama. Es fundamental en la preservación de la identidad como órgano de salud psicosocial y sexual en toda mujer.

Las mastectomias conservativas, termino acunado ya hace varios anos atrás por Umberto Veronesi se han incorporado a la oncología mamaria actual. Se cuenta con diferentes instancias, desde la skin reducing mastectomy, la nipple sparing mastectomy y la skin reducing mastectomy, todas ellas con seguridad oncológica comprobada y demostrada hace varios anos atrás.

Existe un mayor auge asimismo de las técnicas de simetrizacion contralateral las cuales buscan la preservación de la identidad corporal femenina. Se debe tener en cuanta que con todo s estos cambios que se han introducido en las modalidades quirúrgicas también, ha existido un cambio en la terapia radiante que se realiza hoy en dia. Existe hoy una mejor definición de volumen target, una reducción de toxicidad y carga de trabajo sin comprometer resultado. Hoy se entiende que el radioterapeuta debe tener un contacto activo y permanente con el cirujano mastologo que realiza las técnicas de reconstrucción y oncoplastia mamaria.

INDICACION DE RADIOTERAPIA POSTMASTECTOMIA

Existe en este aspecto un grupo de factores relacionados con los factores determinantes a la hora del abordaje de la terapia radiante postmastecomia. Se deben analizar:

  1. El tamaño tumoral.
  2. el numero de ganglios afectados o comprometidos oncologicameánte.
  3. El compromiso local de la lesion oncologica. El grado de extensión de la lesión.
  4. La edad de la paciente. Fudamentalmente, este aspecto posee un peso gravitante en aquellas pacientes mas jovenes. (< 35 años de edad) 
  5. se contempla ademas en este caso las características tumorales: si el tumor es por ejemplo triple negativo, grado histológico tumoral alto (GHT III), si posee invasión linfovascular (ILV +), si existe la presencia de extensión extracapsular en los ganglios axilares regionales comprometidos y finalmente, si existe pobre respuesta a terapia sistémica primaria.

Las guías americanas NCCN consideran como una indicación precisa y contundente la presencia de compromiso nodal (N1), se contemplan además las características clínicas (edad, comorbilidad, expectativa vida) factores patológicos, el grado de riesgo (el cual esta determinado por el tamaño de la lesión oncológica, la cantidad de ganglios oncologicameánte comprometidos, grado histológico tumoral, e ILV) también se debe ponderar en este escenario a la biología tumoral (receptores hormonales, mutaciones genéticas) y ademas poner en la balanza el riesgo de complicación de expansor o implante inmediato o reconstrucción autóloga, vs. uso de material heterólogo y reconstrucción inmediata o diferida.

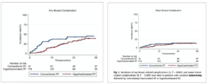
HIPOFRACCIONAMIENTO VS FRACIONAMIENTO STANDARD PARA PACIENTES CANCER DE MAMA RECONSTRUCCION:ANALISIS DE TOXICIDAD:ANALISIS DE TOXICIDAD

LO ULTIMO! HIPOFRACCIONAMIENTO POST MASTECTOMIA NO AUMENTA COMPLICACIONES INDEPENDIENTE DE TIPO DE RECONSTRUCCION NI TIMING

ENSAYO FASE III CHARM Fase III multi-institucional, 884 pacientes con cancer de mama unilateral pT3N0 y pT0-2 pN1-2. RANDOMIZACION 25 fracciones en 5 semanas VS 16 fracciones en 3 semanas. 14% complicación curso corto vs 12% curso largo, sin diferencia significativa p=0.0004

 

 

Dejá un comentario